| 1 |
SANC00861 |
 |
Malabaricone c |
O=C(CCCCCCCCc1ccc(O)c(O)c1)c1c(O)cccc1O |
RdRp |
-10.20 |
| 2 |
SANC00414 |
 |
Spongotine A |
O=C(C1=N[C@@H](c2c[nH]c3cc(Br)ccc23)CN1)c1c[nH]c2ccccc12 |
RdRp |
-9.45 |
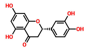
| 3 |
SANC00471 |
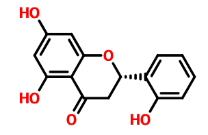
 |
Drimiopsin A |
COc1c(O)c(OC)c2oc3cc(O)cc(C)c3c(=O)c2c1O |
RdRp |
-9.20 |
| 4 |
SANC00470 |
 |
Drimiopsin E |
COc1cc(O)c2c(=O)c3c(C)cc(O)cc3oc2c1O |
RdRp |
-8.62 |
| 5 |
SANC00522 |
 |
(E)-2',4'-Dihydroxychalcone |
O=C(/C=C/c1ccccc1)c1ccc(O)cc1O |
RdRp |
-8.55 |
| 6 |
SANC00317 |
 |
Quercetin |
O=c1c(O)c(-c2ccc(O)c(O)c2)oc2cc(O)cc(O)c12 |
RdRp |
-8.21 |
| 7 |
SANC00980 |
 |
3-O-Methylquercetin |
COc1c(-c2ccc(O)c(O)c2)oc2cc(O)cc(O)c2c1=O |
RdRp |
-8.13 |
| 8 |
SANC00286 |
 |
Catechin |
Oc1cc(O)c2c(c1)O[C@H](c1ccc(O)c(O)c1)[C@@H](O)C2 |
RdRp |
-8.13 |
| 9 |
SANC00986 |
 |
Dibenzo-1,4-dioxin-1,3,6,8-tetraol |
Oc1cc(O)c2c(c1)Oc1c(O)cc(O)cc1O2 |
RdRp |
-8.12 |
| 10 |
SANC01131 |
 |
Nepetin |
COc1c(O)cc2oc(-c3ccc(O)c(O)c3)cc(=O)c2c1O |
RdRp |
-8.11 |
| 11 |
SANC00954 |
 |
Taxifolin |
C1=CC(=C(C=C1[C@@H]2[C@H](C(=O)C3=C(C=C(C=C3O2)O)O)O)O)O |
M2-1 |
-6.36 |
| 12 |
SANC00385 |
 |
Reticuline |
COc3ccc(C[C@H]2c1cc(O)c(OC)cc1CCN2C)cc3O |
M2-1 |
-6.29 |
| 13 |
SANC00361 |
 |
4'-O-demethyleucomol |
O=C2c1c(O)cc(O)cc1OC[C@@]2(O)Cc3ccc(O)cc3 |
M2-1 |
-6.01 |
| 14 |
SANC00320 |
 |
Eriodictyol |
O=C2C[C@@H](c1ccc(O)c(O)c1)Oc3cc(O)cc(O)c23 |
M2-1 |
-5.84 |
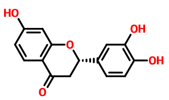
| 15 |
SANC01043 |
 |
Hesperetin |
COC1=C(C=C(C=C1)[C@@H]2CC(=O)C3=C(C=C(C=C3O2)O)O)O |
M2-1 |
-5.65 |
| 16 |
SANC00317 |
 |
Quercetin |
O=c2c(O)c(c1ccc(O)c(O)c1)oc3cc(O)cc(O)c23 |
M2-1 |
-5.61 |
| 17 |
SANC00520 |
 |
(2S)-5,7,2'-Trihydroxyflavanone |
O=C2C[C@@H](c1ccccc1O)Oc3cc(O)cc(O)c23 |
M2-1 |
-5.54 |
| 18 |
SANC00286 |
 |
Catechin |
Oc3cc(O)c2C[C@H](O)[C@@H](c1ccc(O)c(O)c1)Oc2c3 |
M2-1 |
-5.15 |
| 19 |
SANC00951 |
 |
Butin |
C1[C@H](OC2=C(C1=O)C=CC(=C2)O)C3=CC(=C(C=C3)O)O |
M2-1 |
-5.05 |
| 20 |
SANC00992 |
 |
Luteolin |
C1=CC(=C(C=C1C2=CC(=O)C3=C(C=C(C=C3O2)O)O)O)O |
M2-1 |
-4.90 |
| 21 |
SANC00101 |
 |
Epicatechin |
c1cc(c(cc1[C@@H]2[C@@H](Cc3c(cc(cc3O2)O)O)O)O)O |
M2-2 |
-6.35 |
| 22 |
SANC00286 |
 |
Catechin |
Oc3cc(O)c2C[C@H](O)[C@@H](c1ccc(O)c(O)c1)Oc2c3 |
M2-2 |
-6.06 |
| 23 |
SANC00361 |
 |
4'-O-demethyleucomol |
O=C2c1c(O)cc(O)cc1OC[C@@]2(O)Cc3ccc(O)cc3 |
M2-2 |
-5.98 |
| 24 |
SANC00317 |
 |
Quercetin |
O=c2c(O)c(c1ccc(O)c(O)c1)oc3cc(O)cc(O)c23 |
M2-2 |
-5.87 |
| 25 |
SANC00856 |
 |
Erythrinin C |
CC(C)(C1CC2=C(O1)C=C3C(=C2O)C(=O)C(=CO3)C4=CC=C(C=C4)O)O |
M2-2 |
-5.59 |
| 26 |
SANC00992 |
 |
Luteolin |
C1=CC(=C(C=C1C2=CC(=O)C3=C(C=C(C=C3O2)O)O)O)O |
M2-2 |
-5.57 |
| 27 |
SANC00986 |
 |
Dibenzo-1,4-dioxin-1,3,6,8-tetraol |
C1=C(C=C2C(=C1O)OC3=CC(=CC(=C3O2)O)O)O |
M2-2 |
-5.38 |
| 28 |
SANC00643 |
 |
Afzelechin |
c1cc(ccc1[C@@H]2[C@@H](Cc3c(cc(cc3O2)O)O)O)O |
M2-2 |
-5.33 |
| 29 |
SANC00242 |
 |
Eucomol |
COc3ccc(C[C@]2(O)COc1cc(O)cc(O)c1C2=O)cc3 |
M2-2 |
-5.32 |
| 30 |
SANC00954 |
 |
Taxifolin |
C1=CC(=C(C=C1[C@@H]2[C@H](C(=O)C3=C(C=C(C=C3O2)O)O)O)O)O |
M2-2 |
-5.17 |
| 31 |
SANC01127 |
 |
Pedalitin |
COC1=C(C(=C2C(=C1)OC(=CC2=O)C3=CC(=C(C=C3)O)O)O)O |
Fusion glycoprotein |
-7.82 |
| 32 |
SANC01131 |
 |
Nepetin |
COC1=C(O)C2=C(OC(=CC2=O)C2=CC(O)=C(O)C=C2)C=C1O |
Fusion glycoprotein |
-7.12 |
| 33 |
SANC01025 |
 |
Pyrogallol |
C1=CC(=C(C(=C1)O)O)O |
Fusion glycoprotein |
-6.44 |
| 34 |
SANC00986 |
 |
Dibenzo-1,4-dioxin-1,3,6,8-tetraol |
C1=C(C=C2C(=C1O)OC3=CC(=CC(=C3O2)O)O)O |
Fusion glycoprotein |
-6.42 |
| 35 |
SANC00439 |
 |
Shinanolone |
Cc2cc(O)c1C(=O)CC[C@@H](O)c1c2 |
Fusion glycoprotein |
-6.38 |
| 36 |
SANC00992 |
 |
Luteolin |
C1=CC(=C(C=C1C2=CC(=O)C3=C(C=C(C=C3O2)O)O)O)O |
Fusion glycoprotein |
-5.93 |
| 37 |
SANC00529 |
 |
Poleevansin |
COc2c(O)c(O)c(O)c3C(=O)C(=Cc1ccc(O)cc1)COc23 |
Fusion glycoprotein |
-5.77 |
| 38 |
SANC00231 |
 |
Autumnariol |
Cc2cc(O)cc3oc(=O)c1c(O)cccc1c23 |
Fusion glycoprotein |
-5.63 |
| 39 |
SANC00950 |
 |
Orobol |
C1=CC(=C(C=C1C2=COC3=CC(=CC(=C3C2=O)O)O)O)O |
Fusion glycoprotein |
-5.52 |
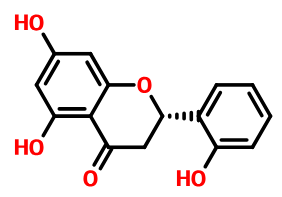
| 40 |
SANC00520 |
 |
(2S)-5,7,2'-Trihydroxyflavanone |
O=C2C[C@@H](c1ccccc1O)Oc3cc(O)cc(O)c23 |
Fusion glycoprotein |
-5.47 |
| 41 |
SANC00555 |
 |
12,13-Dihydroxychina-8,11,13-trien-7-one |
[H][C@@]23CC(=O)c1cc(O)c(O)c(C(C)C)c1[C@@]2(C)CCCC3(C)C |
Phosphoprotein |
-4.33 |
| 42 |
SANC00225 |
 |
(R)-5,6-Dihydroxy-7- methoxy-3-(4'-hydroxybenzyl)chroman-4-one |
COc3cc2OC[C@@H](Cc1ccc(O)cc1)C(=O)c2c(O)c3O |
Phosphoprotein |
-3.82 |
| 43 |
SANC00182 |
 |
Tsitsikammafuran |
CC(C)c2ccc(C)cc2Cc1ccoc1 |
Phosphoprotein |
-3.28 |
| 44 |
SANC01025 |
 |
Pyrogallol |
C1=CC(=C(C(=C1)O)O)O |
Phosphoprotein |
-3.12 |
| 45 |
SANC00871 |
 |
Ivalin |
C[C@@]12C[C@@H](CC(=C)[C@H]1C[C@@H]3[C@H](C2)OC(=O)C3=C)O |
Phosphoprotein |
-2.96 |
| 46 |
SANC00205 |
 |
(-)-4-Bromo-8-chloro-3,7-dimethyl-2E,6E-octadienal |
C/C(=C\CC(Br)/C(C)=C/C=O)CCl |
Phosphoprotein |
-2.83 |
| 47 |
SANC00802 |
 |
Coniine |
CCCC1CCCCN1 |
Phosphoprotein |
-2.66 |
| 48 |
SANC00661 |
 |
Cyclodeca[b]furan-6-carboxaldehyde, 10-[(acetyloxy)methyl]-2,3,3a,4,5,8,9,11a-octahydro-3-methylene-2-oxo-, [3aS-(3aR*,6Z,10Z,11aS*)]- (9CI) |
[H][C@@]12C=C(COC(C)=O)CCC=C(C=O)CC[C@@]1([H])C(=C)C(=O)O2 |
Phosphoprotein |
-1.98 |
| 49 |
SANC00609 |
 |
Tegerrardin B |
O=C2c1c(cccc1)N(c3c2c(OC\C=C(/C)C)cc(O)c3)C |
Phosphoprotein |
-1.17 |
| 50 |
SANC00256 |
 |
Makaluvic acid C |
C1CNC(=O)C2=C(NC=C21)C(=O)O |
Phosphoprotein |
-1.16 |
| 51 |
SANC00317 |
 |
Quercetin |
O=c2c(O)c(c1ccc(O)c(O)c1)oc3cc(O)cc(O)c23 |
Matrix Protein |
-8.12 |
| 52 |
SANC00845 |
 |
Arbutin |
C1=CC(=CC=C1O)O[C@H]2[C@@H]([C@H]([C@@H]([C@H](O2)CO)O)O)O |
Matrix Protein |
-8.11 |
| 53 |
SANC00286 |
 |
Catechin |
Oc3cc(O)c2C[C@H](O)[C@@H](c1ccc(O)c(O)c1)Oc2c3 |
Matrix Protein |
-7.86 |
| 54 |
SANC00101 |
 |
Epicatechin |
c1cc(c(cc1[C@@H]2[C@@H](Cc3c(cc(cc3O2)O)O)O)O)O |
Matrix Protein |
-7.13 |
| 55 |
SANC00756 |
 |
Esculetin |
O=c1ccc2c(o1)cc(c(c2)O)O |
Matrix Protein |
-6.35 |
| 56 |
SANC00824 |
 |
apigenin |
C1=CC(=CC=C1C2=CC(=O)C3=C(C=C(C=C3O2)O)O)O |
Matrix Protein |
-6.35 |
| 57 |
SANC00969 |
 |
N-Acetylhystrine |
CC(=O)N1CCCC(=C1)C2=NCCCC2 |
Matrix Protein |
-6.23 |
| 58 |
SANC00955 |
 |
Indole-3-acetic acid |
C1=CC=C(C=C1)[C@@H]2[C@H](C(=O)C3=C(C=C(C=C3O2)O)O)O |
Matrix Protein |
-6.06 |
| 59 |
SANC00953 |
 |
Ferulic acid |
COC1=C(C=CC(=C1)/C=C/C(=O)O)O |
Matrix Protein |
-5.95 |
| 60 |
SANC00679 |
 |
Combretastatin B-4 |
COc2cc(CCc1ccc(O)c(O)c1)cc(OC)c2 |
Matrix Protein |
-5.85 |
| 61 |
SANC01043 |
 |
Hesperetin |
COC1=C(C=C(C=C1)[C@@H]2CC(=O)C3=C(C=C(C=C3O2)O)O)O |
Nucleoprotein |
-7.00 |
| 62 |
SANC00106 |
 |
Kaempferol |
O=C1c3c(O/C(=C1/O)c2ccc(O)cc2)cc(O)cc3O |
Nucleoprotein |
-6.56 |
| 63 |
SANC01005 |
 |
Isojacareubin |
CC1(C=CC2=C(O1)C=C(C3=C2OC4=C(C3=O)C=CC(=C4O)O)O)C |
Nucleoprotein |
-6.42 |
| 64 |
SANC00414 |
 |
Spongotine A |
c1ccc2c(c1)c(c[nH]2)C(=O)C3=N[C@H](CN3)c4c[nH]c5c4ccc(c5)Br |
Nucleoprotein |
-6.32 |
| 65 |
SANC00992 |
 |
Luteolin |
C1=CC(=C(C=C1C2=CC(=O)C3=C(C=C(C=C3O2)O)O)O)O |
Nucleoprotein |
-6.19 |
| 66 |
SANC00937 |
 |
5,7,2'-Trihydroxyflavone |
C1=CC=C(C(=C1)C2=CC(=O)C3=C(C=C(C=C3O2)O)O)O |
Nucleoprotein |
-5.82 |
| 67 |
SANC00101 |
 |
Epicatechin |
c1cc(c(cc1[C@@H]2[C@@H](Cc3c(cc(cc3O2)O)O)O)O)O |
Nucleoprotein |
-5.78 |
| 68 |
SANC00435 |
 |
Isodiospyrin |
CC1=CC2=C(C(=O)C=CC2=O)C(=C1C3=C4C(=O)C=CC(=O)C4=C(C=C3C)O)O |
Nucleoprotein |
-5.76 |
| 69 |
SANC00438 |
 |
Neodiospyrin |
Cc4cc(O)c3c(=O)c(c1c(C)cc(O)c2c(=O)ccc(=O)c12)cc(=O)c3c4 |
Nucleoprotein |
-5.74 |
| 70 |
SANC00346 |
 |
Kraussianone 3 |
CC(C)(O)CCc4c(O)cc3occ(c2cc1C=CC(C)(C)Oc1cc2O)c(=O)c3c4O |
Nucleoprotein |
-5.66 |